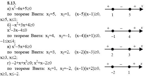
Алгебра 9 класс мордкович номер 3