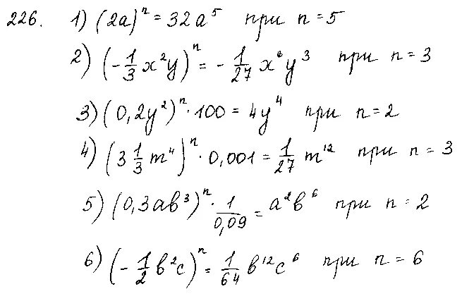
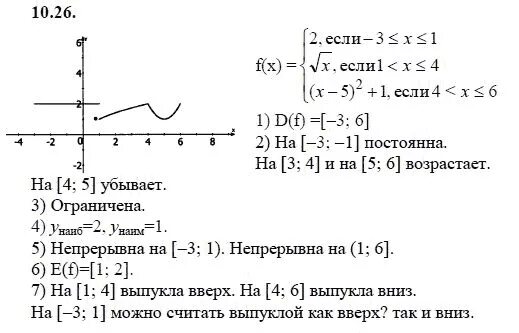
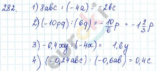
Алгебра 9 класс номер 226