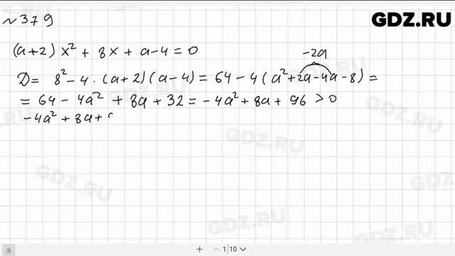
Алгебра 9 класс страница 10 номер 16