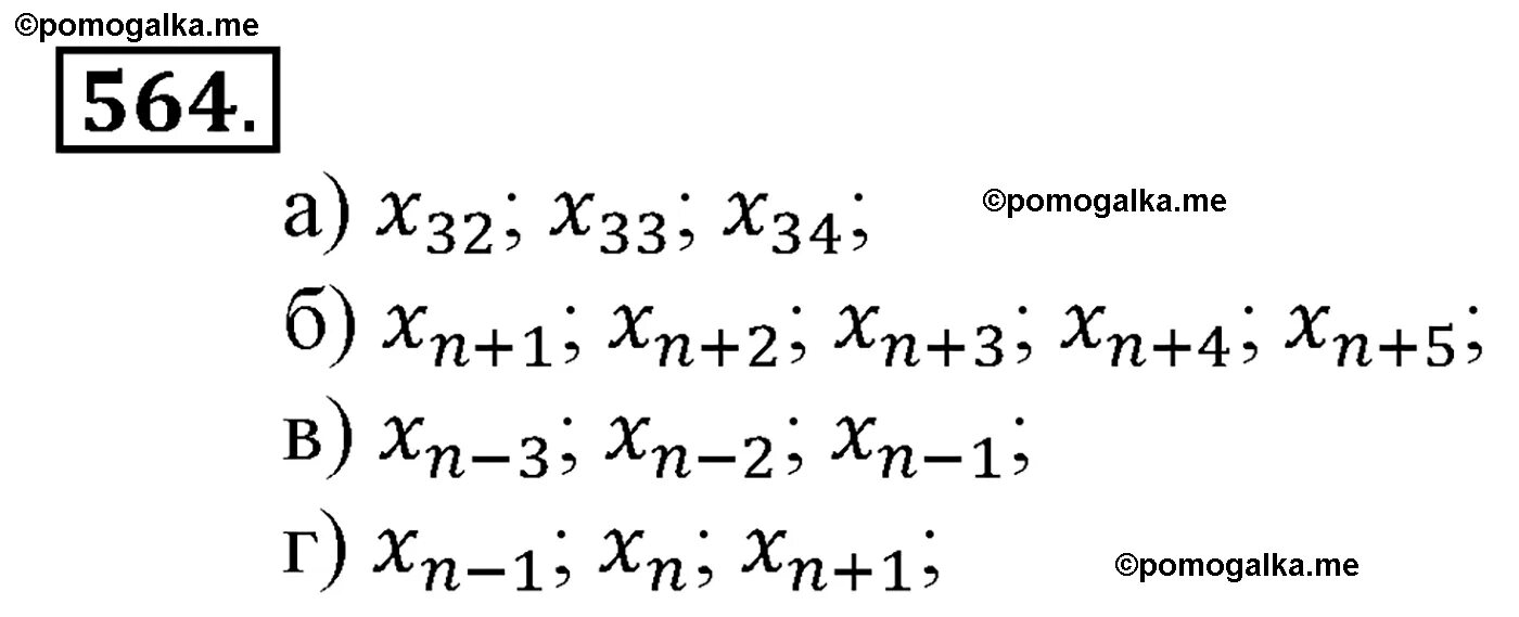
Алгебра 9 номер 564