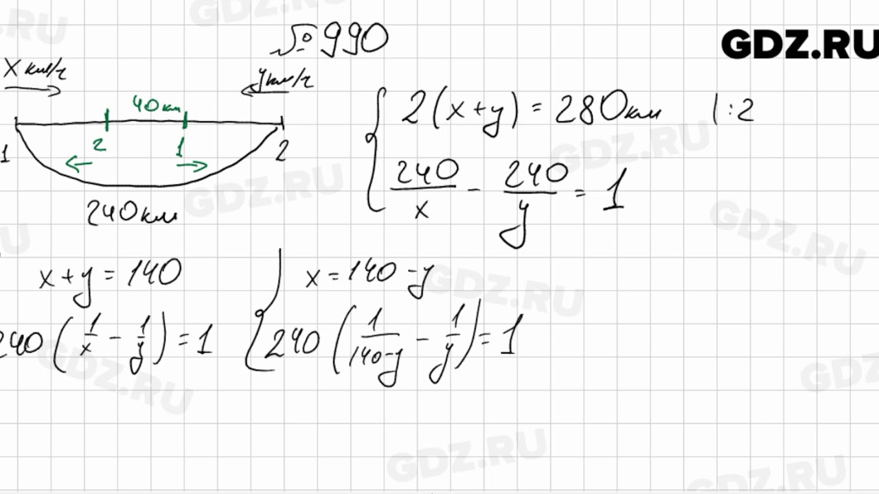
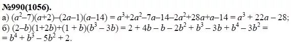
Алгебра 990