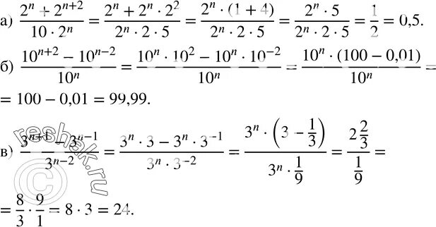
Алгебра упр 180