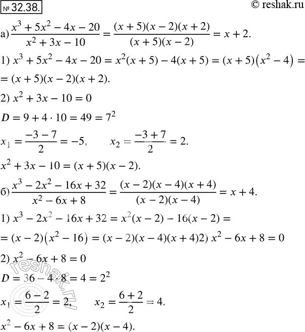
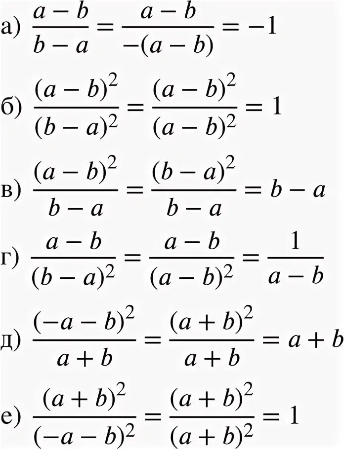
Алгебра упр 38