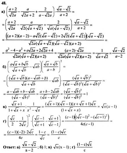
Алгебра упр 48