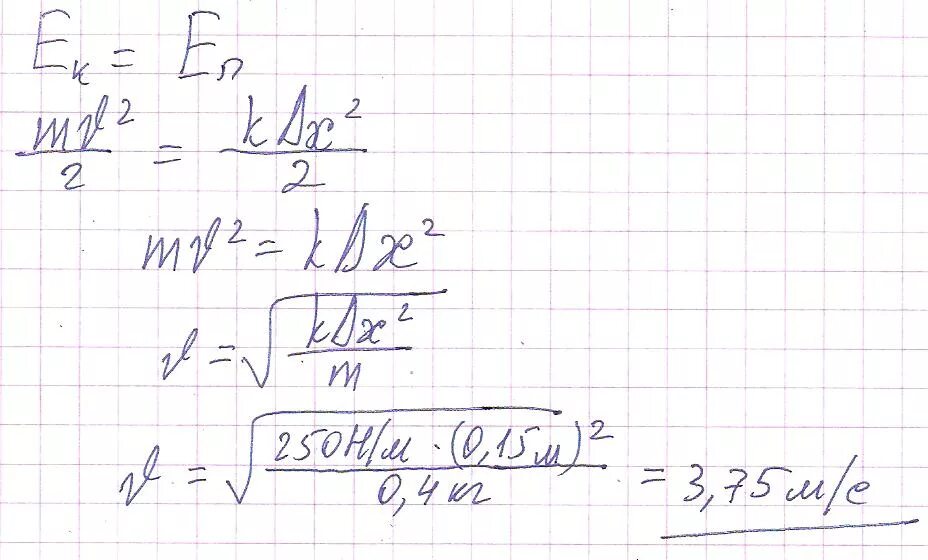
Амплитуда колебаний на пружине равна 10 см