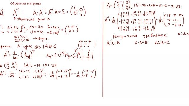
Axb c матричное уравнение