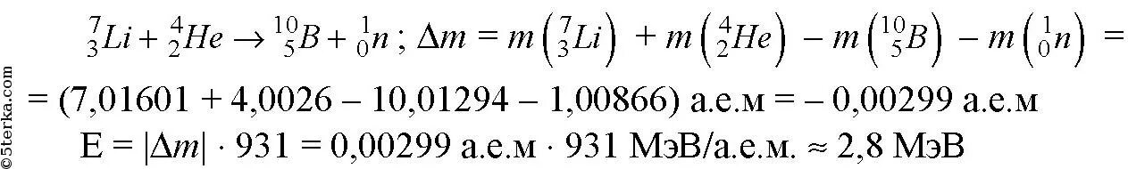
B n li