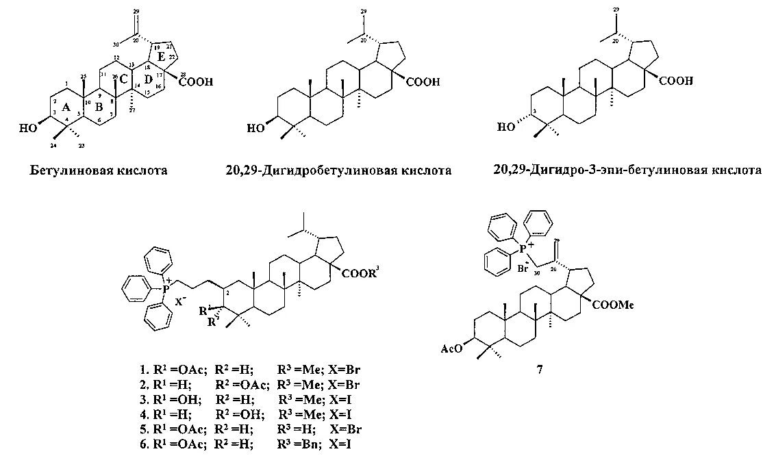
Бетулиновая кислота