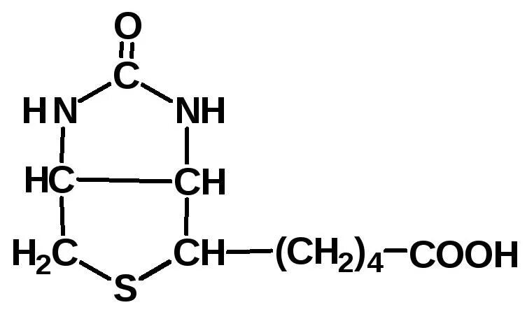
Биотин в7