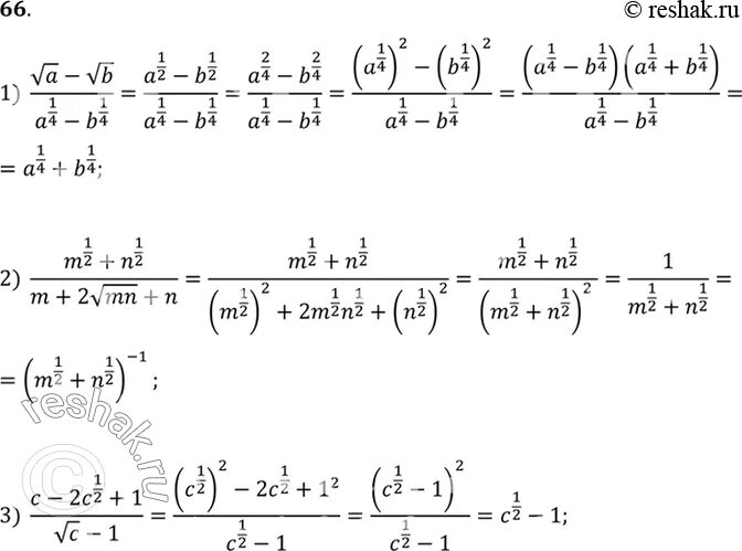
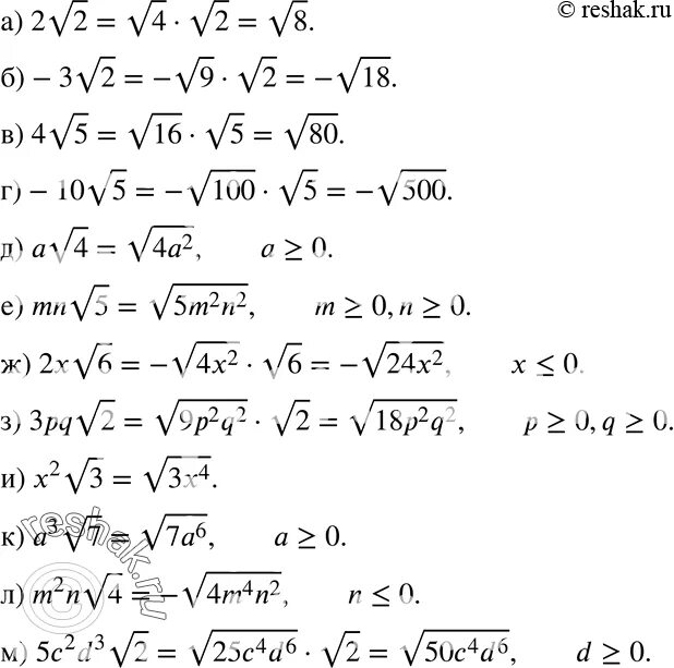
C 6 корень c 5 0