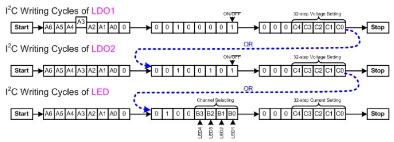
C timing