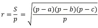
Чему равен полупериметр