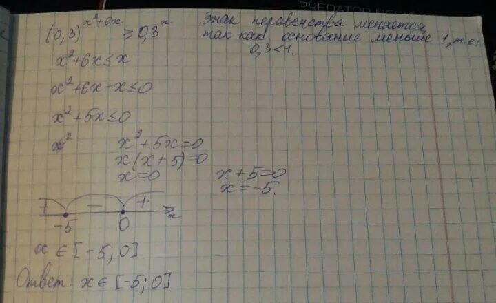
Число 0 решением неравенства z 0