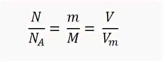
Число молекул железа