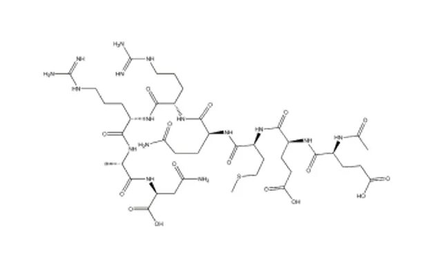
Copper tripeptide 1