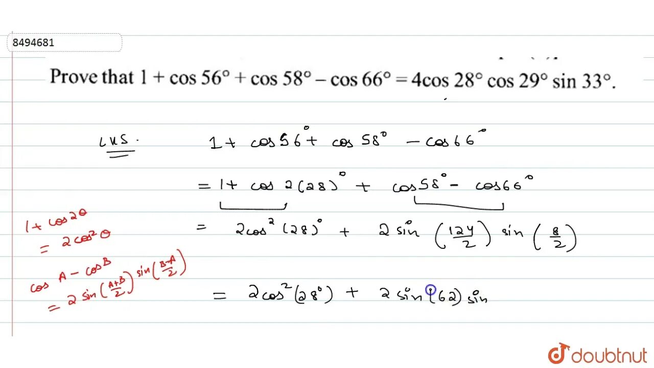
Cos 56 cos 4