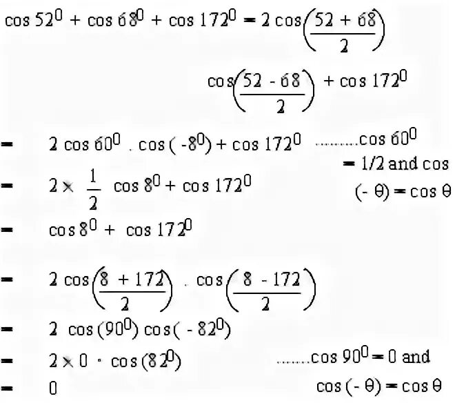
Cos 67 5