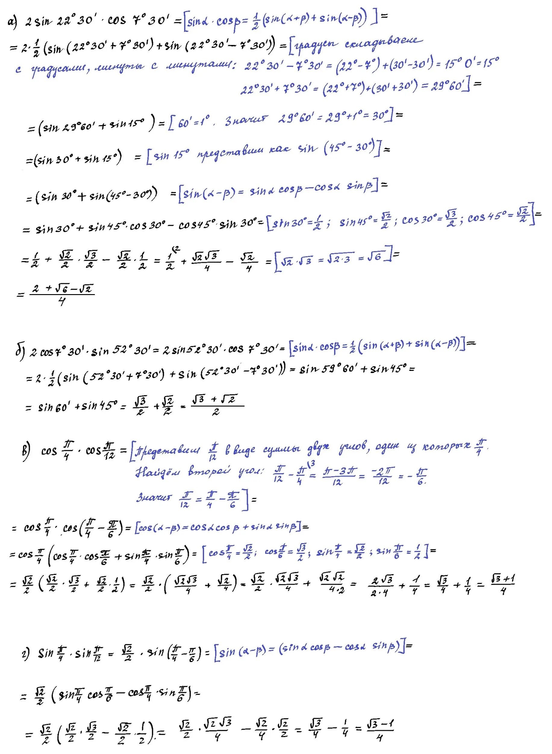
Cos 7 30