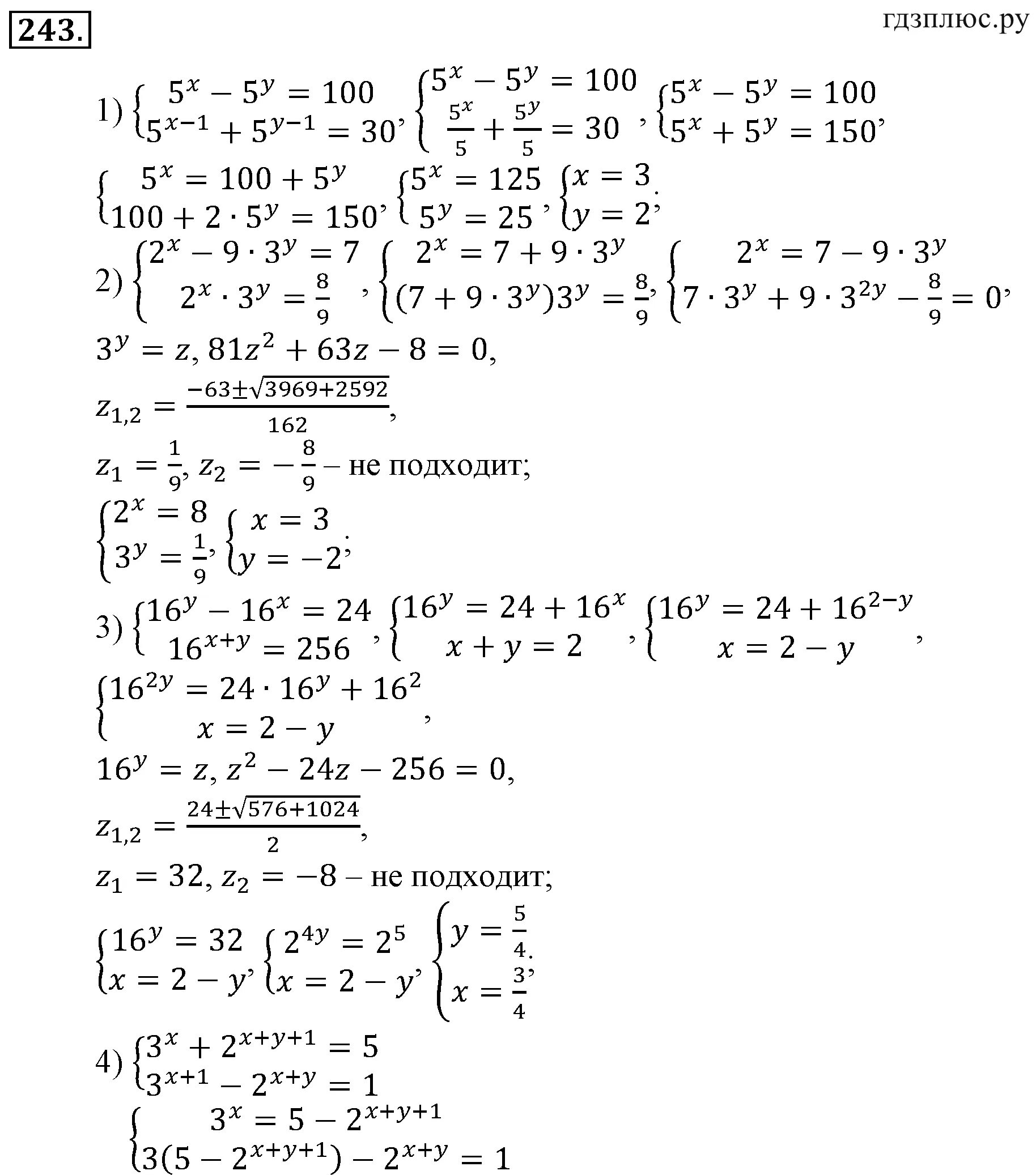
Дидактические материалы алгебра алимов