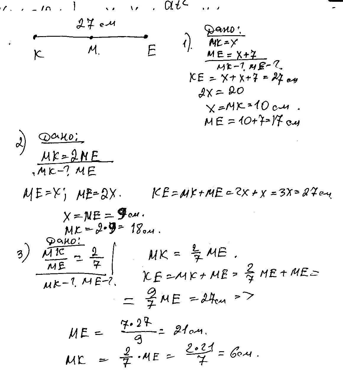
Длина отрезка 27 см