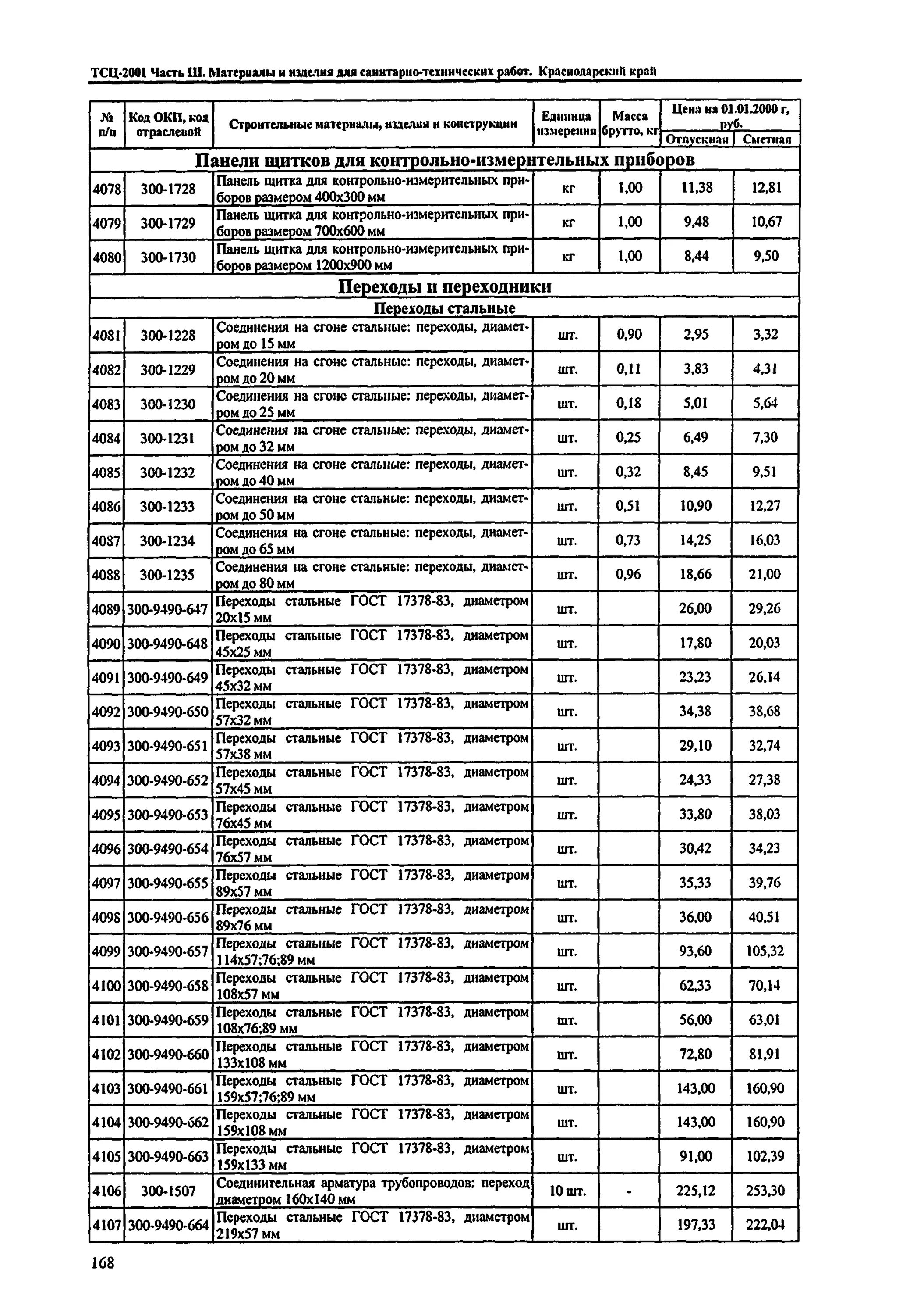
Длина переходов стальных