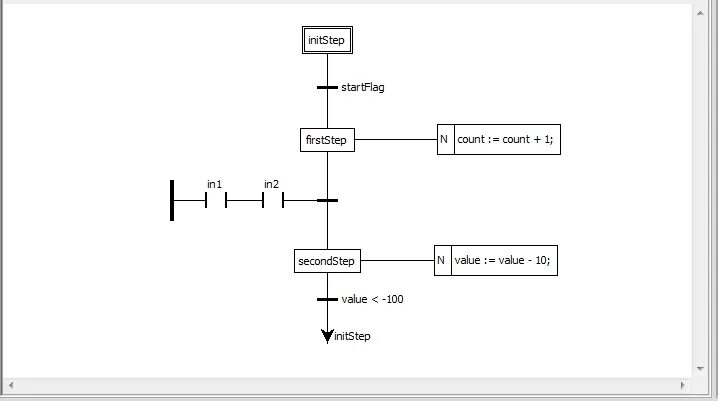
Для использования программы sfc