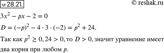
Докажите что при любом значении р