Главная
»
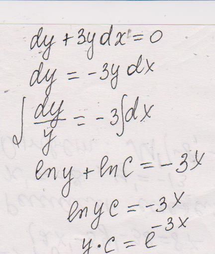
Dy 3x 2 dx y 0
Dy 3x 2 dx y 0
« Предыдущее
29 / 40
Следующее »