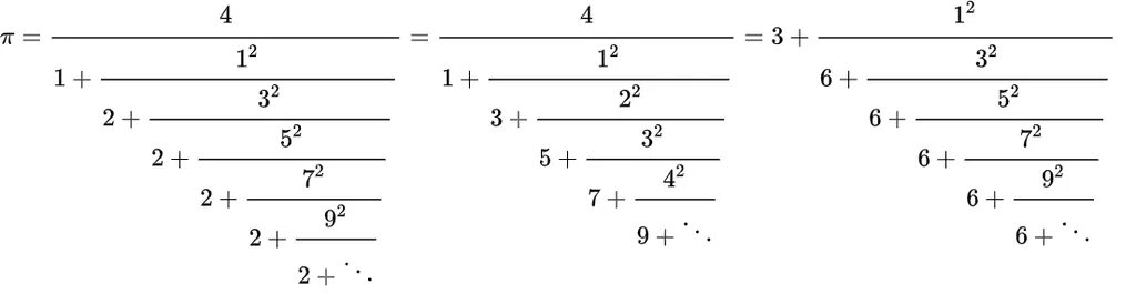
E в дробных числах