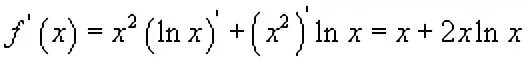
F x lnx x 2 2