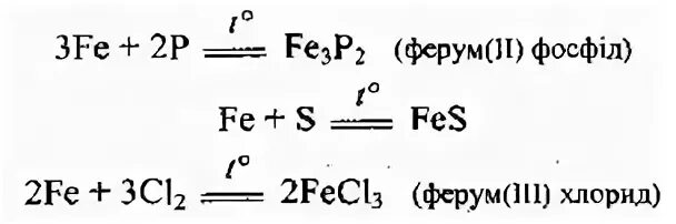
Ферум о аш 3 аш хлор