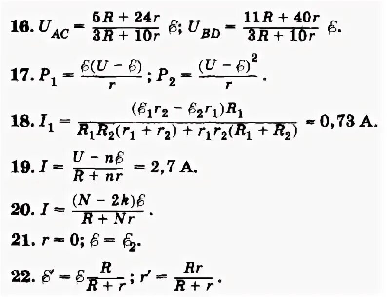
Физика 6 11