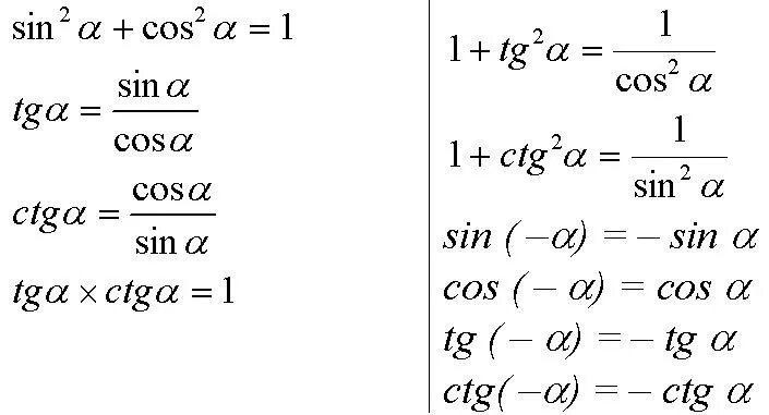
Формулы син кос