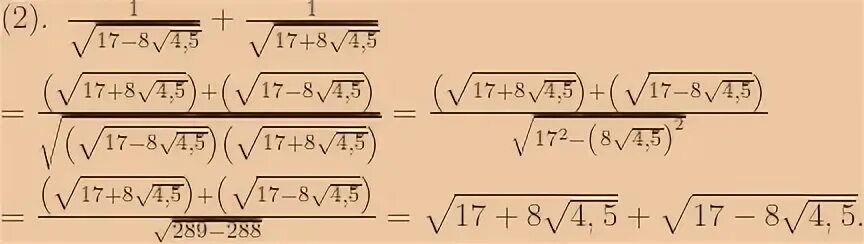
Frac sqrt 4 162 sqrt 4 2