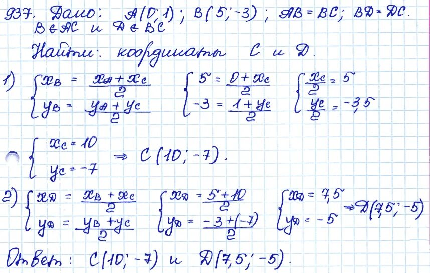
Геометрия 9 класс 789