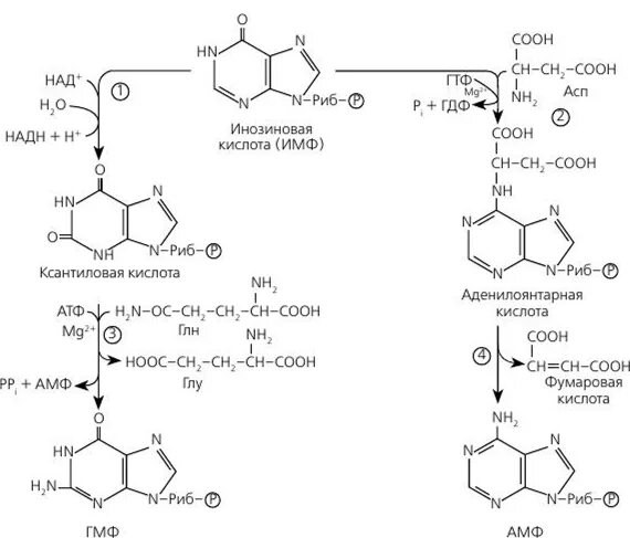
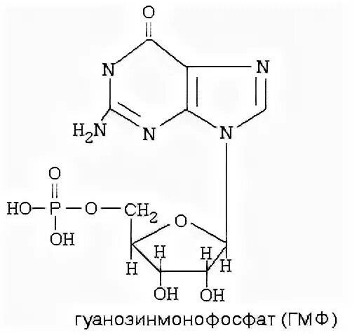
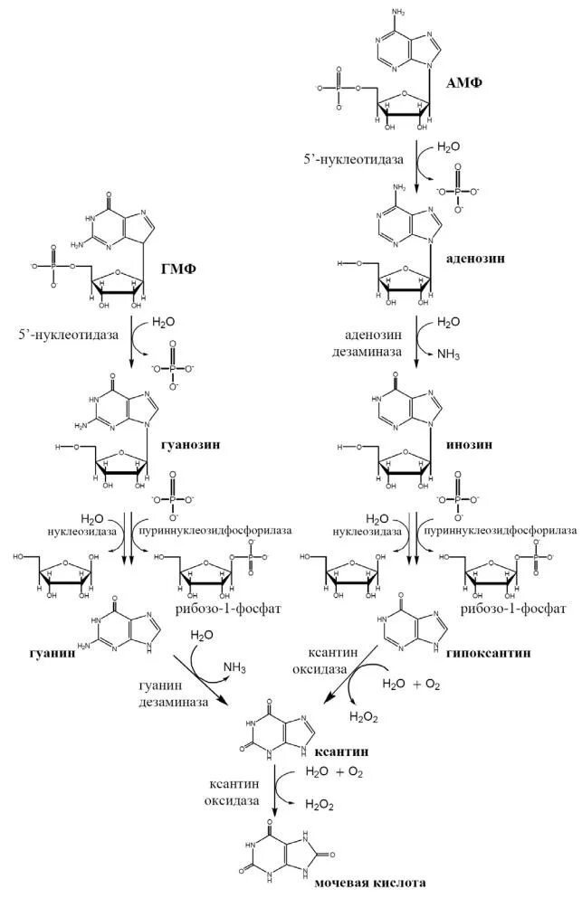
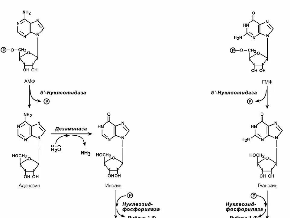
Гмф биохимия