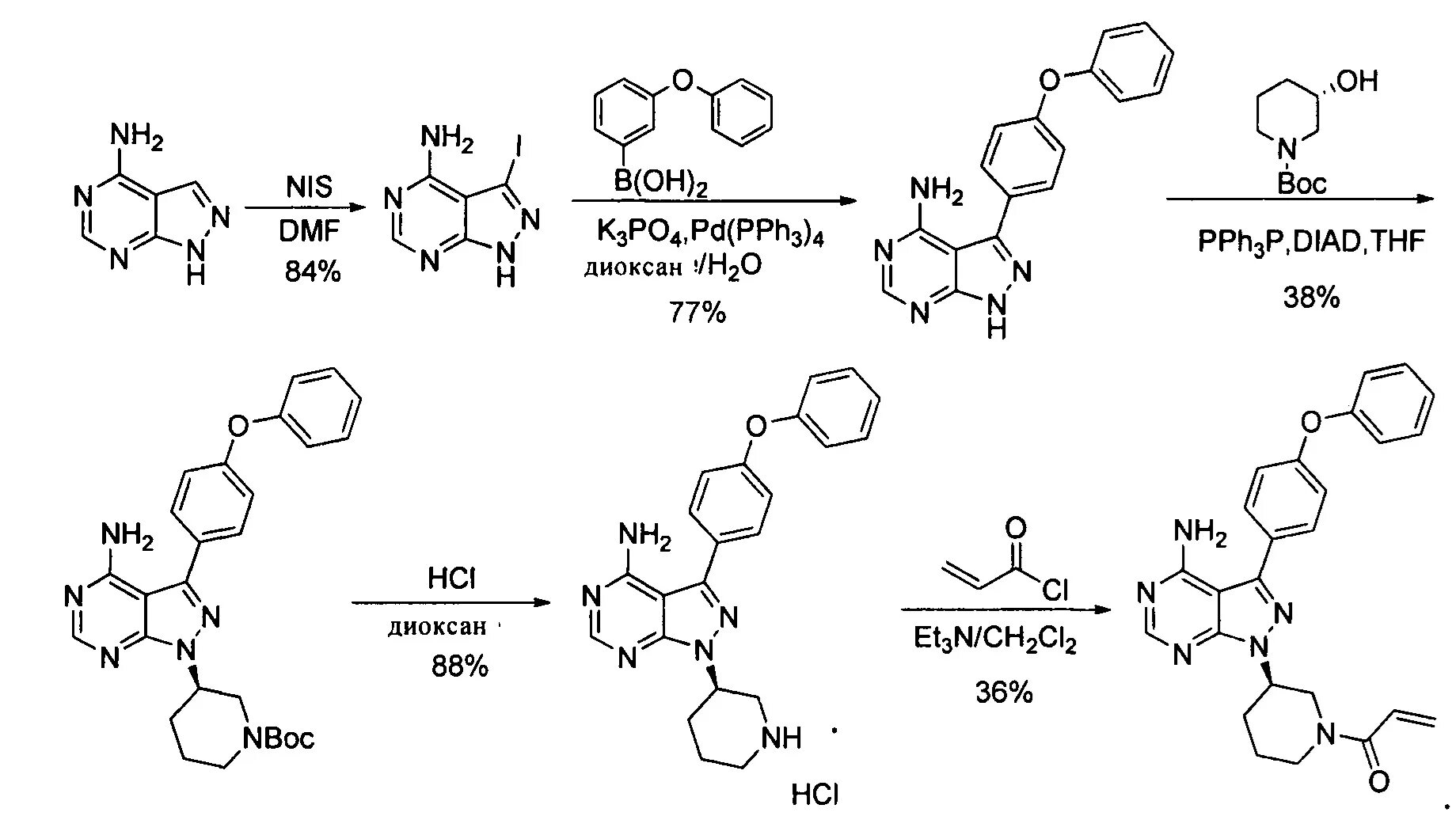
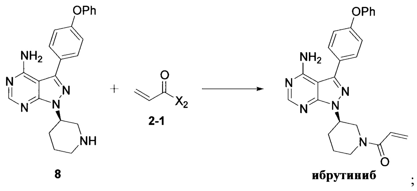
Ибрутиниб