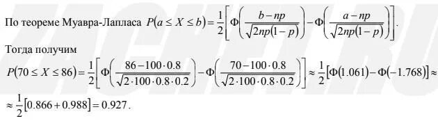
Имеется 100 одинаковых