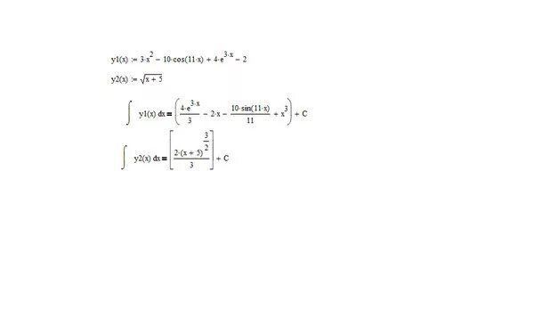
Интеграл 2x 3 2x 1