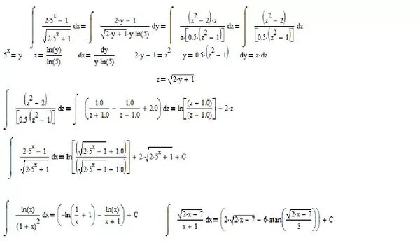
Интеграл dx sinx