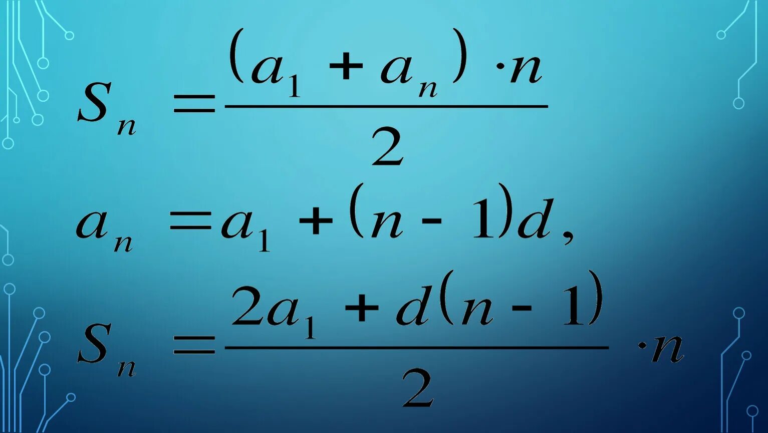
К уроку алгебры 9 класс