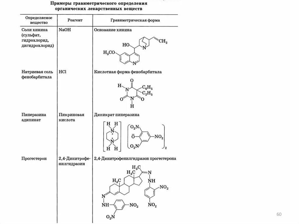
Количественное определение примеры