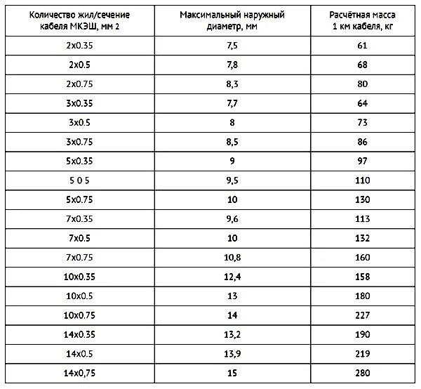
Количество жил и сечение кабеля