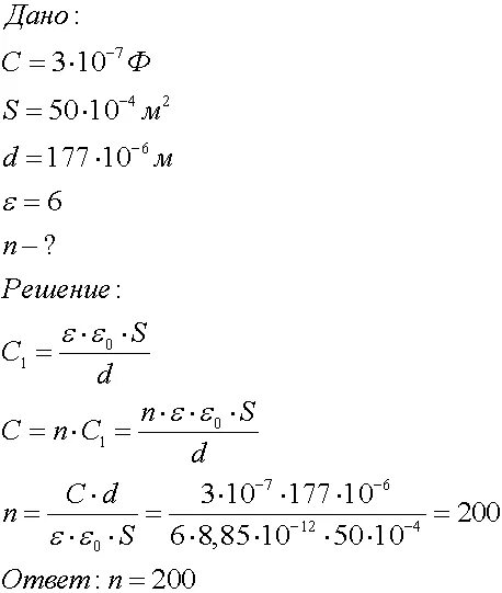
Конденсатор емкостью 0 7 мкф