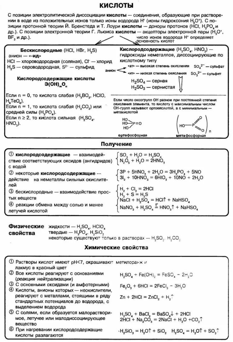
Конспект по химии 11 класс