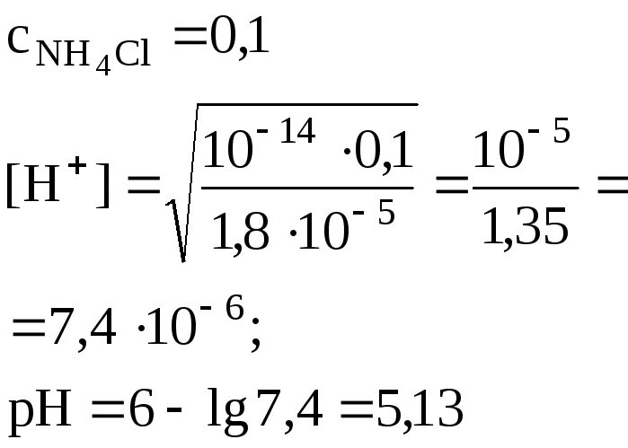
Концентрация ионов формула