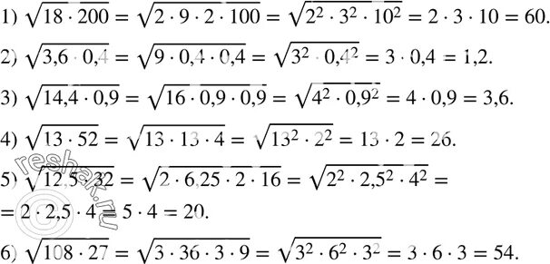
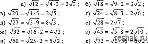
Корень 12 корень 18