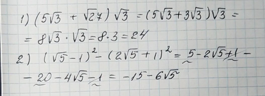
Корень 27 умножить на 2