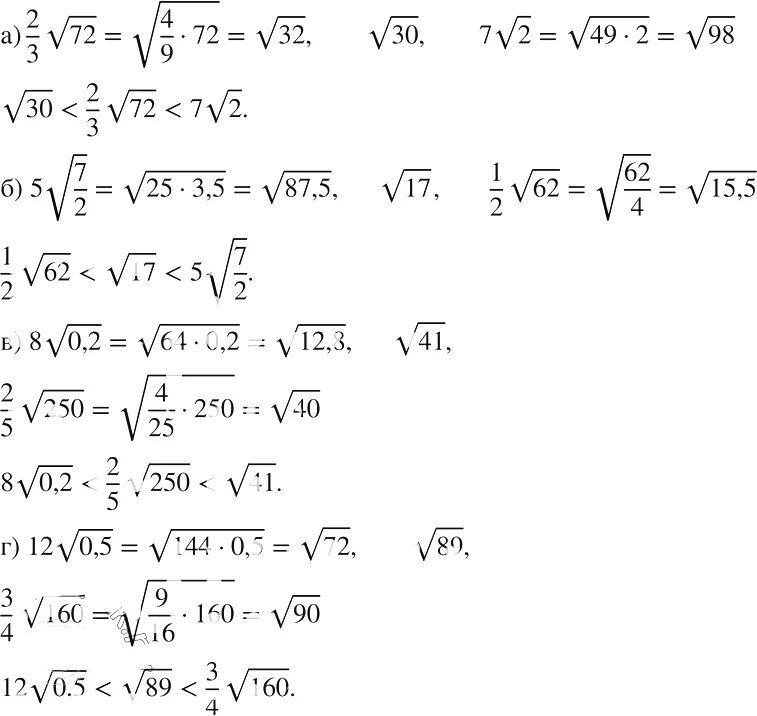
Корень 72 5