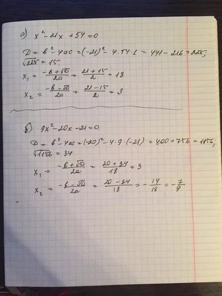
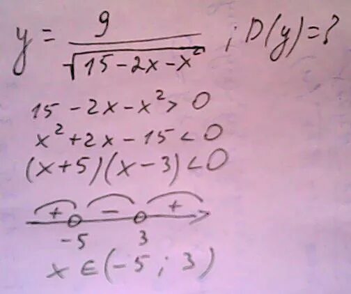
Корень x 15 2 0